Гены, образование, их влияния на рынке труда: взгляд со стороны исследования здоровья и выхода на пенсию.
Nicholas W. Papageorge1, Kevin Thom2
Johns Hopkins University and IZA; New York University
Краткий обзор работы
Последние исследования привели к обнаружению специфических генных вариантов, могущих быть предикторами успехов в образовании [в том числе результатов тестов IQ, отчасти оценок и продолжительности периода образования], поскольку влияют на всё перечисленное. Напомню, «влиять» не значит, «определять»: конкретные механизмы влияния почти везде некогнитивного характера, но связаны с опосредованием воздействия (подавляющего или развивающего) социальной среды.
Авторы учли совокупное действие этих вариантов в виде так называемой полигенной оценки и исследовали Мы исследуем каким образом эти вариации, учтённые в линейной модели – известной как – связаны с накоплением человеческого капитала и влиянием на рынок труда в Изучении Здоровья и Выхода на пенсию (Health and Retirement Study, HRS). В работе представлены две основных серии результатов:
1) эффект генетических влияний на образование, измеренный полигенной оценкой, проявляется во взаимодействии с социоэкономическим статусом семьи.
В общем случае полигенная оценка — предиктор успешности окончания колледжа, но эта зависимость значительно сильнее для детей из богатых семей по сравнению с бедными.2) Полигенная оценка остаётся предиктором размера з/пл даже после поправок на годы образования; в последние десятилетия влияния усиливается. Возможно, эти генетические влияния связаны не с образованием как таковым, но с лучшим приспособлением к изменениям, в том числе к навыкам со стороны технологического прогресса (включая систему образования). В рамках этой интерпретации авторы нашли положительную связь между полигенной оценкой и решением нестандартных аналитических задач, которому помогает внедрение новых технологий. Тем не менее, высокие баллы по окончании колледжа — главный детерминант различий в доходах, при любых уровнях полигенной оценки. Учитывая роль социоэкономического статуса (SES) семьи в прогнозировании успехов учёбы в колледже, это ставит вопрос о массе талантов, пропадающих втуне, не могущих реализоваться из-за бедности и неравенства [а также капитализма, определяющего то и другое: как говорил Ленин
И в СССР получилось! Исчезновение классового барьера в обществе социального равенства обеспечило невозможную в ином случае реализацию талантов рабочих, крестьян, бедняков, женщин нацменов, позволив исходно бедной и самой отсталой стране Европы уже к 1950-м гг. обеспечить научно-технический паритет с самой богатой и технически развитой страной «мира насилья», США, при значимо меньших вложениях в науку и образование т. е. советский эгпалитаризм был эффективней. Прим.публикатора]
[Дисклеймер про гены и признаки того же (2016) года. «Скажем, в исследованиях 1-2 обнаружили ещё одну связь вариантов гена Х с признаком У в популяции Z (а все У во всех Z отчасти зависят от генов, отчасти от среды). Как это понимать? Двумя способами: Первый — как обычно рассказывают журналисты и/или научпоперы-биологизаторы:
«Гены определяют длительность обучения и срок начала половой жизни/первых родов».
Он основан на неявном предположении движущего отбора — что он поддерживает генные варианты, благоприятствующие раннему размножению или долгому обучению, и что в популяции вообще есть генные варианты, «определяющие» эти признаки или поддерживающие их.
Второй способ — сначала история общества «выделит» социальные группы, чьи жизненные обстоятельства требуют раннего размножения, долгого обучения, частого применения насилия или чего-то ещё. А дальше стабилизирующий отбор любым способом «подгоняет» телесность (гены, физиологию, поведение и стоящую за ним нейробиологию) всех членов группы к важной для них социальной практике, используя «то что есть под рукой» — любые генные варианты, влияющие на всё перечисленное. Поэтому именно в ней избирательно накапливаются генные варианты, эффекты которых через какие-то побочные действия облегчают долгое обучение или ранее размножение — а не прямо влияют на него. И, судя по всему, второй вариант правилен, первый нет.
Почему? Первое обоснование следует из «кооперативного» воспроизводства популяций нашего вида — в противоположность прочим животным. Второе определяется непрямой стратегии решения социальных проблем такими «политическими животными», как Homo sapiens:
«Мы не находим ближайшего партнера для спаривания и не залезаем на него немедленно, ориентируясь по запаху и перемещаясь ползком по полу: мы используем намного более сложные стратегии, да еще и меняем их сообразно ситуации. Мы используем для поиска партнеров компьютерные сети и передаем наши послания при помощи проложенного по дну океана оптоволокна — хотя и оптоволокно, и умение набирать текст на клавиатуре, и знание алфавита – это все не для секса. Чтобы заняться сексом наш мозг, тем не менее, использует и специализированные на поиске буквы “Ы” на клавиатуре нейроны, и клетки, хранящие информацию о движениях пальцев при развязывании шнурков. Когда вы учились печатать или завязывать шнурки, вы вряд ли думали о романтической переписке и, вероятно, еще не знали о существовании взрослого белья со шнуровкой, однако вы использовали ответственные за эти навыки нейронные цепи для секса» [link].
Мне неизвестны доводы за первый вариант объяснений, отличающиеся от самого факта обнаружения корреляции, хотя, как положено исследователю, много и специально искал, ведь это потенциальный фальсификатор моих собственных взглядов. Тем более что найденная так связь вряд ли работает за пределами популяции Z, где этот же признак может быть связан с другими генами, поддерживающими его другим способом. Хороший пример — независимо возникающие адаптации к высокогорью у разных народов или низкорослость у разных групп пигмеев, детерминируемые разными генными вариантами.]
1. Введение
Содержание
Экономисты обычно принимают положение о том, что навыки, наиболее ценимые на рынке труда, имеют своим происхождением комбинацию врожденных способностей, экономической среды и эндогенных вложений в человеческий капитал. Одаренности, среда и инвестиции сложным образом взаимодействуют, превращая распределение способностей, полученных при рождении в распределение образования, доходов и результатов трудовложений на протяжении всего жизненного цикла.
Понимание работы этой сети взаимодействий и их влияния на экономическое неравенство является долгосрочным проектом в экономике труда (Mincer, 1958; Becker и Chiswick, 1966; Griliches и Mason, 1972). Выбор подходящего политического ответа на неравенство требует тщательного анализа его происхождения. Бедные домохозяйства обладают ограниченным ресурсами, что естественным образом полагает применение некоторого перераспределения. Однако, разница в одаренности также может иметь место. Если неудачно одаренные индивиды получают меньше человеческого капитала по причинам, не зависимым от доступных ресурсов (например, получают меньше дохода с этих инвестиций), тогда простое высвобождение ресурсов и расширение доступа к образованию могут не оказать существенного влияния на неравенство. Однако, понимание взаимосвязи одаренности, инвестиций и экономического дохода достаточно проблемно: общеизвестно, что способности сложно поддаются измерению и типичные опосредующие оценки (вроде результатов IQ-тестов) подвергаются критике в том плане, что они отражают также и сделанные ранее вложения.
Общим предположением является то, что гены и другие биологические факторы как минимум частично определяют неоднородность распределения способностей среди людей (например, Todd и Wolpin, 2003).
В данной работе использованы последние данные по генетическим влияниям на получение образования для изучения связей между генными вариантами, достижениями в образовании и их влиянии на рынке труда в HRS. Точнее, используются значения полигенной оценки (средневзвешенная сумма генных вариантов у разных индивидов), созданную на основании результатов, полученных Lee и др. (2018) для прогнозирования успеха в образовании. «Гены» детерминируют в среднем 3.2%-6.6% вариации продолжительности образования; маркеры, имеющие здесь наибольший вес, также влияют на раннее развитие головного мозга и в формировании нейронных связи (Lee и др., 2018; Okbay и др., 2016).
Авторы интерпретируют полигенную оценку как подмножество генетических факторов, влияющих на те черты характера, которые относятся к накоплению человеческого капитала. Её сравнение с большим количеством лонгитюдной информации [долговременных данных о жизни и достижениях людей с разными стартовыми условиями. Прим.публ.] позволяет проверить предположения о роли индивидуальной способности к обучению в шансах на получении образования и его результатах при выходе на рынок труда (скажем, з/пл). Скажем, изучены связи между средой в раннем возрасте и генетикой в детерминации результатов образования, и между генетикой с уровнем доходов на рынке труда, если вычесть эффект полученного образования.
В эмпирической экономике труда генетические факторы и момент, связанные со способностями, обычно помещаются в разряд погрешности, усредняются вместе с другими дополнительными постоянными факторами или низводятся до уровня «черного ящика» постоянной ненаблюдаемой неоднородности, которая должна быть исключена из экономических моделей (Liliard и Willis, 1978). При таком подходе структура одаренностей, входящих в человеческий капитал, вместе с природой их взаимодействия с экономической средой, скорее предполагаются, нежели наблюдаются. Это может быть допустимо, если задача исследователя – в снижении неточности оценки при помощи контролирования неучитываемых факторов. Однако, этого недостаточно для знания о структуре способностей и следующих отсюда политических выводах.
Большое число источников использует результаты тестов, вроде IQ или AFQT (Квалификационный Тест в Вооруженных Силах) как опосредующие оценки мыслительных способностей, относящихся к образованию и влияющих на успех на рынке труда. Однако, инвестиции и факторы среды (например, нищета в детстве) могут значительно влиять на эти приближенные оценки, усложняя интерпретацию их разброса для разных людей (Flynn, 1987; Turkheimer и др., 2003, Todd и Wolpin, 2007; Mani и др., 2013). Среди прочего, это означает малую вероятность того, что два человека со схожими результатами тестов интеллекта, но разными обстоятельствами в детском возрасте, имеют одинаковую одаренность.
Доверие к тестам ведёт исследователей к неверному объяснению наблюдаемых различий в доходах скорее различиями в одаренности, нежели разницей во вложениях, сделанных им, семьёй или обществом (например, общественное образование, субсидиям на колледж). В отличие от этого, даже если те генетические показатели, которые мы исследуем, бесспорно, коррелируют с характеристиками родителей, их использование не может критиковаться за то, что они являются результатом инвестиций, поскольку они фиксированы в момент зачатия [нет, эти корреляции могут быть связаны не с общностью генов детей и родителей, а с особенностями семейной среды].
Главнейших результатов исследования два:
1) отмечена связь между полигенной оценкой и получением образования, меняющаяся в зависимости от SES в раннем возрасте. Данные HRS подтвердили (в который раз) сильную взаимосвязь между полигенной оценкой и длительностью образования, выявленную в предыдущих работах (Lee и др., 2018; Okbay и др., 2016). Одно стандартное отклонение полигенной оценки прогнозирует от 0,58 до 0,83 (в зависимости от контрольной выборки) дополнительных лет образования и отвечает за 4,5%. — 9,7% (в зависимости от контрольной выборки) вариации числа лет обучения в школе.
Далее авторы обращаются к новому анализу, ставшему возможным благодаря доступности молекулярных генетических данных участников HRS. Удивительно яркий факт всплывает в связи между полигенной оценкой и ретроспективными измерениями SES в раннем возрасте. Хотя полигенная оценка позитивно коррелирует с SES в раннем возрасте, эти корреляции невелики, а распределение результатов полигенной оценки поразительно схоже для разных уровней SES. Сопоставимое число людей растёт в условиях низкого и высокого SES для любого диапазона значений полигенных оценок, что позволяет сравнить результаты на рынке труда в больших выборках людей с похожей генетикой, но разной SES в детстве. [т. е. нет сегрегации генных пулов между разными слоями населения, по крайней мере в отношении данных генов, рыночное разделение на «лучших» и «худших» не работает как дизруптивный отбор. Прим.публ.].
2) Высокие SES в старших классах школы снижают степень влияния генов на вероятность её окончания, одновременно усиливая влияние на получение степени колледжа [т. е. успешное его окончание]. Эти результаты могут отражать разные модели взаимозаменимости/взаимодополнения между генами и ресурсами семьи (в «социальных» странах также школы и общества?) в достижении ранних и более поздних результатов, связанных с накоплением человеческого капитала. Если рассмотреть шире, то влияние SES подчеркивает важность изучения взаимодействия гены-среда для понимания [эффектов] экономического неравенства и распределенных последствий [политического] вмешательства.
Понимание роли одаренности особенно важно с точки зрения того, что само по себе окончание колледжа коррелирует с существенной прибавкой в доходах, причём за последние 20 лет она только росла. Поскольку генетика значимо влияет на результаты школьного обучения, можно полагать её безусловным предиктором будущего дохода. Однако, факторы, облегчающие учёбу в школе, могут увеличиваить и доход даже при ограниченном уровне инвестиций, в смысле без формального обучения в колледже (за счёт большей мыслительной одаренности, большему упорству и пр.). Проверка этого предположения потребовала второй серии исследований: могут ли – и если да, то в какой степени – полигенные оценки, влияющие на образование, быть независимым предиктором также для большего дохода на рыннке труда, за счёт каких механизмов?
Вопрос особенно важен, если помнить о сильном взаимодействии между SES в раннем возрасте и генетическими влияниями на одаренность. Теоретически возможно, что одаренные индивиды полностью монетизируют свой потенциал в виде больших доходов даже без окончания колледжа, как и обратное — высокая полигенная оценка не компенсирует полностью отсутствие среднего образования. Если верно второе, то разница SES в раннем возрасте (т. е. бедность и спаянное с ней угнетение), воздвигая барьеры на пути к окончанию колледжа, ведут к потерям доходов отдельных индивидов и нереализации талантов, вредной для всего общества.
Статданные, фиксирующие все достижения и проблемы жизненного пути, показывают явную связь между полигенной оценкой и доходами на рынке труда, даже с поправкой на получение образования. Похоже, что влияние генов возрастает со временем, начавшись с повышения неравенства доходов после 1980 года. Учитывая окончание колледжа и годы школьного образования, рост достижений образования на 1σ связан с ростом доходов на 4,5% после 1980 года. Эти данные согласуются с последними работами по неравенству в доходах, показавшие не только рост значимости факта окончания колледжа, но также рост остаточной вариативности доходов в группах с одним уровнем образования (Lemieux, 2006). Авторы также нашли позитивную связь между полигенной оценкой и решением любого рода нестандартных задач, помощь в которых оказывает компьютеризация. Возможно, что одаренность, связанная с успехом в образовании, также позволяет лучше приспосабливаться к новым технологиям или специализироваться на задачах, им более соответствующим. Однако несмотря эффект от одаренности и у тех, кто закончил колледж, и у тех, кто не закончил, средняя важность (premium) факта окончания колледжа высока для любых значений полигенной оценки. Похоже, что из-за бедного детства, разбазаривается человеческий потенциал генетически одаренных индивидов, поскольку у них нет доступа пути получения образования, [логикой технико-экономических изменений] делающемуся всё более прибыльным.
Это исследование вносит вклад в [растущий сейчас пул работ,] изучающих связь молекулярной генетики (генных вариантов, отдельных SNP) с экономическими достижениями людей. Однако нужно учесть, что это первое исследование такого рода, использующее микро-генетические данные [по связи генов и образования] и измерения с разбивкой по признакам заработка и рабочих задач в различных общественных группах.
Полученные результаты имеют двойное значение: они связывают генетические исследования с исследованиями человеческого капитала, способностей и экономических достижений индивидов [на рынке труда]. Показывается, что некоторые центральные открытия, полученные в оценке когнитивных способностей, остаются связанными (hold) с биологическим измерением одаренности1, которое прогнозирует учебу в школе и устраняется в концепции исследования. Даже если из имеющихся генетических данных не удалось вывести новых идей, это предоставило бы свидетельство о том, что результаты тестов содержат полезную информацию об одаренности, а не только об инвестициях в ребенка. Во-вторых, авторы получили совершенно новые результаты относительно происхождения и влияния неоднородности [общества] в распределении доходов. Их результаты о значимости «генетически детерминированного» уровня (с учетом образования) вовлекают генетическую разнородность популяции в ряд важных и тщательно описанных [экономистами] схем в экономике труда. В частности, одни и те же факторы, обеспечивающие более высокую степень накопления человеческого капитала, также важны и влиянием на доходы во время периода технологических и структурных изменений в экономике.
Авторы также показывают, как полигенные оценки использовать в генерации новых идей о важности взаимодействия между одаренностью и окружением ребёнка в исследованиях экономического неравенства [и определяющего его классового разделения]. Они дают доказательства, полученные с применением молекулярных генетических исследований, того, что люди с «хорошей генетикой», но родившиеся в бедной семье, сталкиваются с преградами, мешающими им полностью реализовать свой потенциал. Эти находки относятся к более широкому кругу работ, исследующих аналогичное взаимодействие с использованием иных измерений одаренности, или иных методов для оценки генетического вклада.
Leibowitz (1974) представил один из первых примеров исследования, включающего [социальное] неравенство в качестве фактора, влияющего на способности, измеряемые IQ. Последующие работы подчеркнули влияние данного взаимодействия факторов: Guo и Stearns (2002) использовали исследование близнецов, чтобы получить доказательство что бедная ресурсами среда означает меньшую степень реализации генетической одаренности. Взаимодействие генов и среды также объяснит, почему генные влияния на IQ сильны у детей с высоким SES [ослабевая по мере снижения SES, у бедняков оно 0 или близко] — феномен, известный под названием гипотезы Scarr-Rowe (Scarr-Salapatek, 1971; Nibset и др., 2012, Bates, Lewis и Weiss, 2013; Kirkpatrick, McGue и Iacono, 2015, Tucker-Drob и Bates, 2016). И наоборот, влияние генов сильней в высокодоходных группах, что хорошо согласуется с данными авторов относительно взаимодействия генов и среды в их влиянии на учебу в колледже.
Полученные результаты по взаимодействию генов и среды также связаны с исследованием неоднородности результатов социальной помощи (treatment), поднявшим важную тему в эконометрике и прикладных исследованиях. Heckman и Vytlacil (2005) разработали эконометрический метод для исследования такой неоднородности, связанной или с выбором, или с полученным эффектом. Многие исследования фиксируют значительную неоднородность результатов социальной помощи, связанной с трудом, включая сюда реформу выплаты пособий (Bitler, Gelbach и Hoynes, 2006), компенсаций за обучение (Wiswall и Zafar, 2015) и субсидии на образование (Todd и Wolpin, 2006). Близкое по проблеме исследование (Keane, Moffitt и Runkle, 1988) показывает, как индивидуальное неравенство влияет на реакцию на экономические потрясения, в этом случае рабочая сила дает решения для всего цикла производства (business cycle). В данной работе на технологические [новшества и] трансформации может быть отчасти объяснена неоднородностью генетической одаренности.
Остальная работа построена так: вторая часть обсуждает последние лостижения в области генетики поведения (и пределы их применимости), делая акцент на методах, позволяющих связать генные варианты и достижения на рынке труда. В третьей части показана связь полигенных оценок с уровнем образования и SES, в четвертой рассматривается влияние полигенных оценок на рынок труда, в последней, пятой, следуют выводы.
2. Данные генетики и пределы их прогностичности
Здесь дана информация о данных молекулярной генетики, используемых в настоящей работе. Авторы также касаются ряда проблем [их использования], места, требующие пояснений и сложности интерпретации. Дополнительная информация находится в приложении А.
2.1. Генетические данные и исследования общегеномных связей (GWAS)
Человеческий геном состоит из примерно 3 миллиардов нуклеотидных пар, рассеянных по 23 хромосомным парам. Индивид обладает двумя копиями каждой хромосомы, наследуя по одной от каждого из родителей. Базовые пары представляют из себя “ступеньки на лестнице” базовой двойной спиральной структуры. Гены являются продолжением этих базовых пар и часто содержат инструкции для синтеза протеинов. В человеческом геноме есть около 50 тысяч генов. В подавляющем большинстве (примерно 99%) позиций базовых пар в геноме нет вариабельности нуклеотида среди людей. В остальных позициях (менее 1% от общего числа), базовые пары могут отличаться у разных людей. Такие позиции обозначаются термином SNP (одно-нуклеотидный полиморфизм).
Главная задача поведенческой генетики — определить, которые из SNP влияют на изучаемое поведение [, его структуру и/или результаты], и есть ли вообще таковые. Полногеномный поиск ассоциаций (GWAS) — важный инструмент для оценки этой связи. По методологии GWAS исследователи просматривают весь генетический «текст» в поисках SNP, значимо связанных с реализацией определенного признака или морфоструктуры, особенности фенотипа или результата активности животного [см.пример такого исследования при быстрой эволюции к безбивневости под действием браконьерства у африканских слонов в Мозамбике. Прим.публ.]. Вариации отдельного SNP измеряются при помощи переменной, показывающей какое число копий молекулы ДНК, содержащей базовую пару нуклеотидов, имеет индивид в данной позиции линейного генетического «текста». Значение этой переменной может быть 0, 1 или 2, поскольку индивид обладает двумя копиями каждой хромосомы.
Результат влияния (outcome of interest) обычно снижается с каждым изученным SNP, в то же время учитываются важнейшие элементы полной матрицы данных SNP. Стандартная практика GWAS — включение главных компонент полной матрицы данных SNP в качестве необходимых моментов анализа. Как показано в исследовании Price и др. (2006) (и широко развернуто в работе Benjamin и др. (2012) в контексте экономических результатов), анализ главных компонент [генетической изменчивости] корректирует стратификацию населения и учитывает генетические различия между этническими группами. Его использование ограничивает опасения, что ассоциации генов и поведения связаны с определенными этническими группами, а не с определенными биологическими путями [формирование изучаемых нами признаков]. В этой работе учёт социального расслоения обеспечен использованием первых 10 главных компонент полной матрицы генетических данных.
Благодаря GWAS получено много заслуживающих доверия и воспроизводимых связей между генами и признаками, на которые они влияют, однако работы по генным влияниям на получение образования выполнены только недавно. После первых данных о значительности такого влияния (Rietveld и др., 2013) Консорциум Связи Социальных Наук и Генетики (Social Science and Genetics Consortium) расширил свои эксперименты и провел исследование GWAS, связанное с получением образования, с беспрецендентным объёмом выборки, начиная с работы Okbay и др. (2016) (N=293 723), в которой были найдены 74 SNP, чье влияние оказалось достаточно сильным, чтобы рассматриваться как значимое на уровне всего генома. [Он же отметил, что большинство подобных влияний весьма малы, а их корректное установление требует огромных выборок и гены, влияющие на один и тот же признак, бывают различны в антропологически разных популяциях. Прим.публ.].
Оценка, использованная авторами, исходит из данных последних GWAS-исследований этой группы. Lee и др. (2018) исследовали более 1,1 млн человек, многие из найденных ими SNP привязаны к процессам, участвующим в эмбриональном развитии головного мозга. Данные двух этих работ включают мыслительные механизмы в биологические процессы, опосредующие связь полигенной оценки с получением образования. Lee и др. (2018) нашли, что некоторые значимые SNP экспрессируются в тканях мозга на пренатальной стадии развития, другие из найденных — уже при жизни. Вторая группа SNP обнаружена преимущественно в генах, кодирующих белки с нейрофизиологическими функциями: выделение нейротрансмиттеров, активация ионных каналов и метаботропных процессов, обеспечивающих пластичность синапсов (Lee и др., 2018, стр. 1114).
Для количественной оценки разнотипных генных влияний, выявленных GWAS, их прогнозирования и статистического анализа, часто конструируют так называемую полигенную оценку — линейную комбинацию эффектов значимых SNP, взвешенных по значимости ассоциации каждой из них с изучаемым признаком (GWAS-коэффициенты, показывающие насколько на данном участке «текста» генома превышен случайный уровень ассоциации гена и признака, при данном заранее выбранном уровне значимости, см.рисунок из). Важно заметить, что публикация Lee et al. , 2018 содержит данные HRS, в настоящей работе полигенная оценка рассчитана на основе результатов GWAS без них, чтобы она не могла механически прогнозировать экономические результаты. Использованную оценку авторы назвали ЕА (ЕА — education attainment, получение образования). Поскольку она единственная, термины ЕА-оценка, полигенная оценка и генетическая оценка в работе синонимичны.
Таким образом, полигенные оценки интегрируют общее влияние генетики на образование, проявленное в разных SNP, определяющих этот эффект. Большинство работ, использующих эти оценки, исходят из ранних и менее информативными результатов Rietveld и др. (2013) и Okbay и др. (2016) [Сравни: «Генные влияния на IQ — обзор трёх последних работ|. Прим.публ.]. Conley и Domingue (2016) находят свидетельство изменения схем ассортативности скрещиваний в разных социальных группах на основе полигенной оценки, примененной для образования, в то время как Schmitz и Conley (2016) показывают, что генетическая неоднородность может сдерживать влияние военной службы во время Вьетнамской войны на последующее получение образования. Ближе по времени к этой работе, Belsky и др. (2016) используют полигенную оценку для прогнозирования ключевых пунктов развития и мыслительных способностей в детском и взрослом периодах. Они исследуют образцы 918 новозеландцев и показывают, что схожие значения полигенной оценки не только прогнозируют уровень образования, но также предиктивны для успешности взрослых, если учесть полученное образование. Отыскивая связь между генами, влияющими на образование, с совокупной оценкой успеха их носителей на рынке труда, это исследование даёт возможность проверить результаты, полученные авторами, хотя она выполнена на другой выборке, а её выводы и проблематика здорово отличаются. Наконец, Barth, Papageorge и Thom (2018) показали, что ЕА-оценка частично предсказывает благосостояние через способность к принятию решений и вероятностное мышление.
2.2. Ограничения и сложности интерпретации
В работе приводится пять важных предостережений и моментов, требующих пояснения, относительно нашего использования полигенной оценки для образования. Во-первых, ЕА использует лишь генные варианты, находящиеся на аутосомах, а не половых хромосомах, почему их распределение у мужчин и женщин должно совпадать. В исследовании рынка труда авторы сосредоточились на мужчинах, «чтобы обойти спорные вопросы, связанные с трудоустройством женщин» [т.е. не пробовали учесть их системную дискриминацию рынком, ведущую к феминизации бедности и безработицы. Прим.публикатора]. Однако они исследовали оба пола при изучении образовательных инвестиций, и ограничивали выбор примеров лишь при наличии важной причины для этого. В Приложении Б исследуются возможные различия между полами в связи ЕА-оценки со временем образования. Есть данные, показывающие более высокие значения ЕА-оценки для мужчин по сравнению с женщинами. Очевидно [желательным] направлением будущих исследований будет изучение половых различий в результатах, а также, более общего вопроса связи ЕА с разными категориями работниц и их вознаграждениями.
Второй момент в том, что полигенная оценка, которую мы применяем, была впервые обнаружена на примерах индивидов европейского происхождения. Ранее было показано, что полигенная оценка [детерминации некого признака], обнаруженная у одной этнической группы, относительно менее предиктивна в применении к другой группе. Скажем, полигенная оценка роста, выведенная для европейского населения, даёт ложный прогноз для африканцев, что они ниже ростом (а они в среднем выше) (Martin и др., 2017). Тем самым было бы ошибочным и безответственным применять ЕА-оценку из данной статьи к индивидам неевропейского происхождения, почему авторы ограничились лишь индивидами европейского происхождения согласно категориям HRS. Нужно отметить, что с данным ограничением, основные элементы генетических данных помогают учесть меж-европейские этнические различия.
В-третьих, мы не претендуем на оценку причин появления специфических генных вариантов [в отличие от многих пищущих про «гены агрессии» или «образования» авторы знают, что «влиять» не значит «определять».]. Каждая наблюдаемая нами связь генных вариантов и результатов разного рода деятельности — плод комбинаций прямого и непрямого влияния, действующего через среду, создаваемую родителями для детей [а обществом — через школу, ВУЗ и отношение к этим людям в «большом обществе»]. Родители с благоприятной генетической одаренностью (часть из которой передается их детям) с большей вероятностью будут обладать достаточным ресурсами для создания более благоприятной среды. Действительно, Kong, Thorleifsson и др. (2018) обнаружили, что родительские генотипы, которые не передались детям, тем не менее могут прогнозировать образование детей, что полагает существование некоторого непрямого канала. Даже если это так, индивидуальный генетический склад не изменяется от инвестиций в человеческий капитал. Напротив, IQ и другие результаты тестов мыслительных способностей подвергаются критике за то, что они также отражают внешние факторы, такие как вложения в человеческий капитал в раннем возрасте.
Действительно, Bharadwaj, Loken и Neilson (2013) находят, что разница в уровне медицинской помощи, получаемой новорожденными, имеет влияние на академические успехи многими годами позднее. Генетические показатели не могут критиковаться таким образом, поскольку они фиксированы в своей основе. Как мы выводим далее (Приложение В и обсуждение в разделе 3.6), это свойство генетической одаренности производит важное ограничение, которое может быть использовано чтобы получить корректную картину взаимодействия генов и среды. Более того, из целой серии работ получено сильное свидетельство того, что в значительной мере отношение между ЕА-оценкой и образованием сохраняется, даже если учесть постоянное влияние семьи при помощи данных исследований близнецов (Domingue и др., 2015; Rietveld и др., 2014). Если бы отношение между оценкой и образованием как-то учитывало семейную среду, мы бы наблюдали, что различия между семьями значительно точнее прогнозировали бы экономические результаты. Наконец, учет основных элементов помогает смягчить то обстоятельство, что мы практически не учитываем этнические различия в социальных нормах, связанных с образованием.
Четвертое ограничение связано с вариативностью наблюдаемых результатов, объясняемой с помощью полигенной оценки. Близнецовые исследования установили, что ~40% вариативности уровня образования можно связать с генетическими различиями, что предполагает значительное влиние генов на формирование способностей [оцениваемых в школе и применяющихся на работе] (Branigan, McCallum и Freese, 2013). Авторы показывают на выборке респондентов HRS, что полигенная оценка может объяснить ~10% вариативности уровня образования, то есть ~25% общей вариативности, которую другие методы связывают с генами. Это несоответствие обычно адресуется как “проблема теневой наследуемости” (Zuk и др., 2012) и может быть скорректировано, поскольку будущие полигенные оценки, использующие большее число образцов будут иметь более высокую прогностическую силу. На практике, теневая наследуемость затрудняет применение ЕА-оценки для выводов об относительной важности генетической одаренности по сравнению с факторами среды в определении размера вознаграждения за работу. Также вводило бы в заблуждение разложение дисперсии, что есть слабая сторона исследований с использованием полигенной оценки относительно близнецовых исследований. С другой стороны, наблюдаемые генетические варианты позволяют нам оценить характер взаимодействия (например, разница в соотношении гены/образование для различных SES в раннем возрасте), что представляется сложным с применением близнецового метода. На самом деле, хорошо известные методически ограничения исследований близнецов или усыновления является проблемой для оценки взаимовлияния генов и среды с применением этих методов.
В-пятых, существуют трудности объяснения результатов применения полигенной оценки в экономическом анализе. Полигенная оценка — линейная комбинация генетических вариантов, предиктивных для уровня образования. Как обсуждалось в Введении, авторы объясняют полигенную оценку как силу генетической детерминации способностей, относящихся к получению образования, таких как вроде лёгкости в обучении и приобретении навыков. Авторы [совершенно верно] намеренно воздержались от описания полигенной оценки как способности или меры мыслительных способностей: вероятно, это обманка или слишком большое упрощение. Одна из причин этого — полигенная оценка лишь один интегральный индекс в противоположность широко распространенному мнению, что способности правильно было бы понимать как многомерные, с различными возможными результатами, зависящими от экономических результатов. В частности, есть более различенные мыслительные способности, связанные с накоплением человеческого капитала и успехом на рынке труда (например, внимание, язык, зрительно-пространственные навыки, двигательные навыки, исполнительность и память), каждая из которых по-разному связана с экономическим результатом (Willis и Rose, 1979; Heckman, 1995; Cawley и др., 1997).
Более того, социо-экономические навыки (иногда называемые не-мыслительными, или “мягкими” навыками, soft skills) играют ключевую роль в получении образования и результатах на рынке труда (Heckmann и Rubinstein, 2001). Таким образом, не имело бы смысла считать индивида с высокой полигенной оценкой “высокоспособным” или приравнивать её к мыслительным способностям [и действительно, авторы выявили её связь с конкурентоспособностью там, где активно шла компьютеризация]. Также, не вполне понятно как именно гены влияют на «достижения» индивида на рынке труда, сами по себе [т.е. создавая его «биологию»] или через взаимодействие со средой. Как обсуждалось выше, анализ биологических процессов полагает, что гены, имеющие наибольший вес в ЕА-оценке, также вовлечены в развитие ткани мозга и в процессы, связанные с взаимодействием нейронов. Хотя явно подталкивает к предположению о влиянии на процессы мышления, пока нет исчерпывающего понимания, так ли это, и на какие именно биологические процессы влияют данные гены.
ЕА-оценка практически гарантированно исключает факторы, относящиеся к навыкам, напрямую включённым в мышление и облегчающим учебу, но не (или, возможно не) играющим роли в другом контексте, например, в успехе на рынке труда. Отсюда одно из преимуществ исследования ЕА-оценки в большом наборе данных, полученных в HRS, — возможность изучить её связь с некоторыми важнейшими экономическими показателями. Выполненная работа даёт ценные идеи о том, как эти генные варианты работают на протяжении жизни, что может пролить свет на механизмы, определяющие их связь с накоплением человеческого капитала.
3 Гены, образование и SES в раннем возрасте
3.1 Выборка HRS и полигенная оценка
HRS — это растянутое во времени исследование, в котором наблюдаются порядка 20000 американцев не моложе 50 лет вместе с их супругами. Опросы начали в 1992 году и происходят каждые два года. В рамках HRS собраны генетические образцы 18994 людей в четыре этапа: 2006, 2008, 2010 и 2012 годы. В анализ включены лишь образцы 2006 и 2008 гг. Генотипированные в них индивиды скорее рождены в более молодых когортах, поскольку доживание до 2006 года требовалось для включения в исследование. Более того, женщины и индивиды с более высоким уровнем образования более охотно соглашались на предоставление генетической информации.
Основная выборка для анализа включила всех индивидов европейского происхождения, рожденных до 1965 г., по каждому доступна генетическая информация и информация об образовании, всего 8537 человек. (По причинам, приведенным во второй части, выборку ограничили респондентами европейского происхождения, только для них валидны использованные EA-оценки). В таблице 1 приведены основные описания демографических и образовательных переменных. Средняя длительность образования находится на уровне 13 лет, 13% респондентов не смогли закончить старшие классы школы или получить GED (аналог ЕГЭ), ~25% выборки имеют как минимум 4-летнее образование в колледже, ~42% участников мужчины.
В таблице 1 приведена статистика об образовании родителей и ряд переменных, отражающих здоровье и другие аспекты SES респондентов в детстве. Эти замеры включают самозаполняемую 5-балльную шкалу оценки здоровья в детстве; SES семьи респондента (благополучный, средний или бедный); были ли у семьи экономические потрясения (вынужденный переезд, просьба других семей о помощи, длительные периоды безработицы или экономической неактивности родителей). Авторы также сконструировали показатель доходов отцов: сперва взяв данные HRS о роде деятельности отца респондента, когда ему было 16, и сопоставив с ним средний трудовой доход (данные 1960 года по доходам работников основного возраста, 25-54 года) в данном роде деятельности, получилось распределение средних доходов по профессиям.
Авторы измеряли доход при помощи записей MEF (основной источник данных SSA, управление социального обеспечения, о ежегодных доходах), и связали его с HRS. Данные MEF покрывают период с 1951 по 2013 год и совмещают цифры, полученные от сотрудников, с документами IRS (служба внутренних доходов), такими как форма W-2, с тем, чтобы получить сумму “регулярных доходов и заработных плат, чаевых, дохода самозанятых лиц и отсроченных компенсаций” (Olsen и Hudson, 2009). Данные о заработке в итоге отражаются в виде максимального дохода, ежегодно облагаемого социальным налогом. Где возможно, записи MEF уточняли данными о среднем уровне дохода, превышающего эту величину, согласно данным CPS (ежемесячный опрос, по которому составляется статистика рынка труда).
Как показано в Таблице 1, медианный действительный доход в выборке составил $55’295, а величины [первого и третьего квартилей] 25% и 75%, соответственно, равны $34’173 и $75’005. На графике на рисунке 1 показан средний заработок для каждого возраста в анализируемой выборке отдельно для людей с законченным колледжем и без него. Изображение данных имеет горбовидную форму, где доходы низки в начале жизни и возрастают с пиком к 50 годам для более низкого уровня образования и к 60 — для с более высокого. Для людей с более низким уровнем образования доходы снижаются по мере того как они стареют их работоспособность снижается в более поздние периоды жизни.
Если обратиться к генетическим данным, на рисунке 2 представлен график плотности (сглаженной вокруг ядра) ЕА-оценки в пределах нашей выборки. Её значения снижены и масштабированы с тем, измерить стандартные распределения относительно среднего. Распределение рис.2 можно оценить как приблизительно нормальное и симметричное.
Если не указывается иное, все регрессии выполнены с учетом полного набора фиктивных переменных, учитывающих год рождения, мужской пол и связи между этими двумя параметрами. Основной контрольный набор также включает 10 основных элементов полной матрицы генетических данных. Как отмечалось во второй части, эти переменные позволяют учесть возможное расслоение между стратами оценки для разных этнических групп, которые могут существовать для индивидов европейского происхождения. Чтобы учесть неслучайный выбор генетических образцов, все регрессии были взвешены с учетом значений образцов, выверенного при помощи обратной вероятности включения в генетический образец данных наблюдения. Подробности конструирования этих значений приведены в Приложении Е.
3.2 Полигенная оценка и образование
Сперва авторы воспроизвели зависимость между ЕА-оценкой и достигнутым уровнем образования, выявленную в более ранних работах (Rietveld и др., 2014; Okaby и др., 2016; Lee и др., 2018). Таблица 2 показывает снижение числа лет, потраченных на образование, в зависимости от ЕА-оценки для разных наборов контролируемых переменных. Увеличение ЕА-оценки на одно стандартное отклонение соответствует увеличению длительности школьного обучения на 0,827 лет. R2, связанный с полигенной оценкой для данной регрессии составляет 0,097, что показывает что дисперсия этой оценки объясняет существенную долю дисперсии достигнутого уровня образования.
Как обсуждалось в разделе 2, ЕА-оценка может измерять биологические факторы, влияющие на способность осваивать новые навыки или на величину усилий, требующихся для обучения [так что оно идёт легче]. Однако, связь оценки и образования может также отражать корреляции между генетическими факторами и средой, которая способствует получению образования. Например, генетические факторы, определяющие оценку, могут также влиять на родительские навыки, благодаря которым дети индивида получат более длительное образование, даже если эти факторы напрямую не влияют на способность ребенка получать новые навыки. Поскольку генотипы индивидов с необходимостью коррелируют с генотипами биологических родителей, такой сценарий даст связь ЕА с достигнутым уровнем образования, базирующуюся только исключительно на факторах среды. В идеальном случае, чтобы учесть последние, в идеальном случае хотелось бы учитывать родительские генотипы, ибо генотип ребенка — их случайная комбинация. И хотя такой информации в данных HRS нет, у нас есть информация об образовании родителей: признаке, наиболее приближенном к родительской одаренности.
В колонке (2) таблицы 2 еще раз показана зависимость длительности школьного образования от ЕА-оценки, но с добавлением в контролируемые переменные отдельных замеров образования отца и матери. Их включение помогает учесть долю вклада генов в образование, созданную большими инвестициями более образованных родителей, также передающих и свой генетический материал детям. Как и ожидалось, величины, связанные с образованием обоих родителей, сильно и положительно влияют на длительность школьного образования респондента. Однако, даже с этой поправкой, ЕА-оценка осталась сильно связанной с достигнутым уровнем образования с коэффициентом регрессии; доля объяснённой дисперсии (R2), здесь пониже, но всё ещё существенен (0,051). Внутрисемейные исследования Lee et al. (2018) показывали, что связь между SNP индивида и уровнем образования после учёта влияния семьи в среднем на 40% ниже. В анализируемой выборке учет образования родителей снижает влияние ЕА на 25%, это существенная часть корреляции гены-среда, предполагавшейся ранними исследованиями влияния семьи.
В колонке (3) ещё раз выведена регрессия длительности школьного образования в зависимости от ЕА-оценки, но с добавлением переменных оценки респондентами уровня своего здоровья в детстве. Многочисленные предшествующие работы связывают здоровье в детстве с SES и поздней — результатами на рынке труда позднее в жизни (см. Currie (2009)). Действительно, худшее здоровье значимо — и отрицательно! — связано с достигнутым образованием. Видно, однако, что R2 этих переменных около 0,018, если без учета ЕА-оценки, или 0,006, если учтено также образование родителей: это значимо ниже, чем R2, связанный с самой ЕА-оценкой. В колонке (4) мы добавляем ряд поправок на значение SES в раннем возрасте. Сюда включены разные SES: необходимость переезжать из-за финансовых неурядиц, или занимать деньги у других, была ли долгая безработица у отца, и его средний доход по данным 1960 года. Добавление этих поправок не снижает значимо влияние ЕА-оценки. Колонка (5) показывает, что эти влияния устойчивы и к добавлению фиктивных переменных, учитывающих место рождения и вероисповедание. Сравнение колонок (1) и (5) показывает, что поправки на SES и здоровье в раннем возрасте увеличивают R2 примерно на 0,138. Значение связанного с ЕА-оценкой инкремента R2 на уровне 0,045 существенно при сравнении.
В таблице 3 учтена связь между ЕА-оценкой и фиктивными переменными, показывающими максимально достигнутый уровень образования (без в/о, 2 годичный колледж, окончание 4хгодичного колледжа или университета со степенью магистра или профессиональной). ЕА-оценка сильно негативно связана с первыми двумя категориями, но положительно — со следующими 2мя (т.е. окончанием колледжа или университета, «получением в/о»). Полигенная оценка предиктивна не только для достигнутого уровня образования, но и для успеваемости. Колонка (5) представляет коэффициенты регрессии для модели анализа, где зависимая величина — риск второгодничества: ЕА-оценка с ним связана сильно и негативно. Увеличение полигенной оценки на одно стандартное отклонение связано со снижением на 4,1% риска когда-либо не сдать переходные экзамены между классами. Панель В таблицы 3 показывает сохранение этой связи даже при попрравке на образование родителей.
При совместном рассмотрении данные табл.2 и 3 подтверждают два предположения: 1) генетическая вариация, оцененная ЕА, значимо связана с разными характеристиками достигнутого уровня образования; 2) не похоже, чтобы эта связь обуславливалась в основном факторами среды в раннем возрасте, во всяком случае, присутствующими в HRS. После поправок на образование родителей, включения ряда поправок на различные аспекты SES в детстве, происходит лишь незначительная коррекция связи между ЕА-оценкой и законченным образованием.
3.3 Полигенная оценка и SES в раннем возрасте
Для более глубокого понимания, как именно взаимодействуют гены и среда, авторы подробней анализируют связи SES в детстве и ЕА-оценки, фиксируя образовательные достижения индивидов со схожей оценкой, но разными обстоятельствами детства. Хотя HRS исследует людей зрелого возраста, оно также включает ряд ретроспективных вопросов в разделе Демография, при помощи чего возможно конструирование переменных, учитывающих SES домохозяйства, в котором рос респондент. Благодаря этому в анализ добавили 4 измерения SES в детстве, основанные на данных HRS: все они бинарны, 1 для высокого SES и 0 в другом случае:
Доход отца. Опираясь на полученную от респондента информацию о роде деятельности отца, рассчитали его доход по данным 1960 г., лиц с доходом отца выше медианы считали имевшими высокий SES в детстве. Роды деятельности отцов взяты из данных Бюро трудовой статистики, где используются более точные коды деятельности, чем те, которые общедоступны в HRS.
Благосостояние семьи. SES считали «высоким» у респондентов, ответившим что дела их семьи шли “достаточно хорошо” или “средне” с рождения и до 16 лет. Низкий SES присвоен респондентам, ответившим “плохо”.
вынужденный переезд или просьбы финансовой помощи. В HRS задаются отдельные вопросы о том, была ли вынуждена семья переезжать или по нужде занимать деньги у родственников. Оба события похожи, означают неординарную ситуацию для домохозяйства, поэтому их совместили в одну переменную, что повысило ее значимость: по отдельности переезд или одалживание денег — события нечастые. SES считали «высоким» у респондентам, чья семья избегала того и другого все годы наблюдений; — у ответивших «да» хотя бы на один вопрос.
Трудоустройство отца. SES считали «высоким» у респондентов, чьи отцы никогда не теряли работу надолго (“несколько месяцев и более”), низким — у тех, чьи отцы либо долго были безработными, либо умерли, либо вообще не жили с семьёй. Понятно, что эта переменная включает информацию и о структуре семьи (равна 0 при безотцовщине).
Такое определение SES имеет несколько недостатков. Первый в ретроспективности, создающей систематические ошибки: скажем, сегодняшний SES индивида может влиять оценку им обстоятельств своего детства; большая наблюдательность ведёт к лучшей осведомлённости о финансовых трудностях родителей и пр. Во-вторых, переменная 3 может указывать на навыки, не включённые в анализ, но влияющие на результаты продажи рабочей силы индивида на рынке труда. В-третьих, оценки SES в раннем возрасте переменными 1-4 не исчерпывающи, поскольку не отражают целый ряд факторов, влияющих на уровень ресурсов, доступных респонденту, вроде числа детей в семье [или каким ребёнком по счёту родился респондент — у первенцев независимо от пола IQ устойчиво выше]. Можно было спрашивать, например, о наркомании родителей или физическом насилии с их стороны, хотя эти беды встречаются на жизненном пути значимо реже учитываемых в переменных 1-4.
Здесь авторы следовали подходу Altonji, Elder, and Taber (2005), исследовавших влияние образования в католических школах на последующим доходы работников. Анализируя возможность того, что их большая з/пл обеспечена не католическим образлованием как таковым, а какими-то ненаблюдаемыми факторами, они разумно предположили, что если две группы оказываются сходны при отборе в них по факторам, включённым в анализ, то вряд ли при отборе в них по факторам, неучтённым в анализе, окажутся настолько гетерогенными, что это поставит под сомнение регрессии, выявленные для анализируемых факторов.
Потенциальные сложности измерения SES заставляют авторов использовать несколько способов его оценки, что позволяет определить устойчивость эмпирических зависимостей к разными способам оценивания [использованных характеристик]. Нужно заметить, что хотя переменная “Доход отца” опирается на данные о среднем уровне дохода, она не может подвергаться влиянию тех же ошибок в ответах, что и остальные, поскольку не требует от индивида оценочного суждения о финансовой ситуации в семье в его детстве.
Однако вопреки возможным проблемам и неточностям ответов испытуемых и сконструированных переменных SES отмечена высокая устойчивость их связи с достигнутым уровнем образования и полигенной оценкой. Так, первый ряд панели А таблицы 4 показывает % респондентов, чей SES определён как «высокий» по всем четырем параметрам. Для трех переменных, доступных непосредственно из HRS, от 73% до 75% определили свой SES как «высокий», хотя соответствующая величина дохода отца присутствует только в 51% случаев.
Зависимость между SES в детстве и ЕА-оценкой авторы изучали двумя способами. Во-первых, для каждой из 4х переменных панель А табл.4 приводит среднюю долю респондентов, выросших в среде с высоким SES для каждого квартиля распределения ЕА-оценки. Скажем, для первого квартиля ЕА 70% отметили, что финансовые дела семьи до 16 лет шли «хорошо или средне», тогда как в 4м уже 78% процентов (разница в 8 процентных пунктов статистически значима). Для всех четырех переменных доля респондентов с высоким SES в целом растет в более высоких квартилях ЕА, с максимумом межквартильной разницы для переменной «доход отца» (13,5 п.п.), что заставляет отвергнуть нулевую гипотезу об отсутствии различий семейной среды между первым и четвертом квартилем ЕА-оценки. Таблица 4 также представляет разницу средних ЕА-оценке для индивидов, чей SES определён как «высокий» vs как «низкий». И снова максимум различий отмечен для переменной «доход отца»: индивиды с доходом отцов выше среднего в целом имеют ЕА выше среднего примерно на 0,2 стандартного отклонения.
Однако несмотря на эти различия, дисперсия, объяснённая зависимостью между замерами SES и ЕА-оценкой, в значительной степени исчезает после внесения поправки на образование родителей. Таблица 4 показывает, что контроль образования родителей снижает межквартильные различия доли лиц с высоким SES (минимум на 45% для дохода отца и «переезда или обращения за помощью) и даже делает их незначимыми (показатели самооценки обеспеченности семьи или наличия работы у отца).
Далее авторы строили график распределения балла ЕА отдельно для лиц с высоким и низким SES, используя переменные 1-4 (рис.2). Самое замечательное сугубая схожесть всех этих распределений: нельзя говорить о недо- или перепредставленности каких-то генотипов из числа определивших ЕА ни в одной из групп социального статуса [иными словами, рыночная конкуренция и отбор на протяжении 300 лет американской истории так так и не вызвали разделения генофондов между бедными и богатыми, лучше и хуже образованными, во что верили полной верой энтузиасты евгенического движения и/или генетики, придерживавшиеся правых взглядов: настолько, что вера толкала к фальсификациям]. Что сильно контрастирует с данными рис.3, где ясно видны существенные различия распределений EA у получивших как минимум в/о и его не имеющих.
Хотя существует систематическая взаимосвязь между оценкой EA и измерениями SES, эти средние различия кажутся скромными по сравнению с различиями, основанными на образовании родителей или собственном образовании респондента. Мало того, что средние оценки EA схожи в группах SES, но и распределение оценки EA почти одинаково по группам SES. В качестве ориентира панель A на рисунке 3 отображает распределение оценок EA отдельно для лиц, которые закончили и не закончили колледж, тогда как панель B делает то же самое на основе образования матери (менее двенадцати лет по сравнению с двенадцатью или более годами). Неудивительно, что наблюдается значительный сдвиг вправо в распределении, основанный на завершении колледжа (средняя разница 0,67), и меньший, но существенный сдвиг вправо на основе высокого образования матери (средняя разница 0,29).
Напротив, на рис.4 показано распределение оценки EA отдельно для групп с высоким и низким SES на основе каждого из наших четырех показателей. В каждом случае мы можем отвергнуть нулевую гипотезу о том, что распределения идентичны, но различия в распределениях кажутся меньшими, чем различия, основанные на собственном или родительском образовании. Действительно, распределения по группам SES в значительной степени перекрываются. Это перекрытие важно для последующего анализа, который проверяет взаимодействие между оценкой EA и SES в детстве и, таким образом, сравнивает образовательные результаты для людей с аналогичными оценками, но в разной детской среде. Выполнение такого анализа было бы проблематичным, если бы эти распределения демонстрировали небольшое перекрывание, поскольку взаимодействия можно было бы идентифицировать по сравнению людей в хвостах каждого распределения (например, сравнение лиц с высоким SES с необычно низкими оценками EA против людей с низким SES с необычно высоким EA. баллов). Как видно из рис.4, сравнение лиц, получивших одинаковую оценку из разного опыта SES, можно провести по распределению оценки EA. То, что подобное перекрывание выглядит иначе является причиной того, что мы не рассматриваем родительский доход как дополнительную меру SES, а вместо этого используем его как контрольную переменную.
Панель B таблицы 4 демонстрирует, что каждый из показателей SES является релевантным предиктором образовательного уровня. Контролируя оценку EA, наш базовый контроль и образование родителей, мы обнаруживаем, что люди, рожденные в домохозяйствах с высоким SES, должны завершить от 0,15 до 0,73 дополнительных лет обучения, в зависимости от меры SES. Хотя контроль образования родителей составляет почти весь градиент ген-SES, эти измерения SES по-прежнему содержат объяснительную силу для образования даже после того, как мы учтём как образование родителей, так и полигенную оценку.
Все вместе обсуждённые результаты и связи в табл.2-4 подтверждают два вывода:
1) Гены и факторы среды равно существенны в достижении определённого уровня образования;
2) В объяснении наблюдаемой корреляции влияний генов и среды отбор получением или нет в/о более значим, чем отбор переменными SES, т.е. «подъём через образование» ещё был возможен до 1980-х гг., но существенно затруднён после;
3) Связь между SES в детстве и уровнем образования родителей не создана отбором последних по их способностям, иначе б различия ЕА-оценок между классами SES были б гораздо ярче.
4) распределение полигенной оценки во многом схоже по группам SES, поэтому можно сравнивать результаты образования и присутствия на рынке труда у лиц с похожими полигенными баллами, но разными детскими SES.
Осталось лишь объяснить, как взаимодействуют гены и среда, в которой росли респонденты, создавая «достижения» индивида, уровень образования и результаты на рынке труда. Это анализируется в разделе 4.
Рисунки и таблицы работы
Рисунок 1. Распределение EA, абсцисса стандартные отклонения, ордината — плотность распределения.
Рисунок 2. Распределение EA в зависимости от SES. А-D: параметры SES — достаток семьи; доход отца; обращалась ли семья за помощью, получала ли её; был ли отец безработным. Везде синий штрих — высокий статус/не обращались и не получали помощи/отцы не были безработными, красная сплошная линия — низкий статус/обращались и получали/были. Прочие обозначения см. рис. 1.
Рисунок 3. Распределение ЕА в зависимости от уровня образования. Синий штрих — как минимум колледж, красный сплошной — в колледже не учился.
Рисунок 4. Взаимосвязи влияний EA и высокого SES для разных категорий учащихся (коэффициент регрессии). Абсцисса — уровень образования, как минимум (слева направо): начальная школа, средняя школа, двухгодичный колледж, 4хлетний колледж, ВУЗ. При низком уровне образования связь везде отрицательна, при высоком же положительна. [см. сходное влияние ряда генных вариантов на зарабатывание денег в богатых vs бедных семьях: как и они, ЕА-оценка действует на образование скорей через социальную трансляцию, а не детерминацию способностей как таковую]
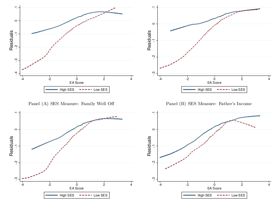
Рисунок 5. Непараметрическая оценка (Lowess), показывающая зависимость вероятности образования на уровне средней школы и выше или более высокого балла с EA и высоким vs низким SES для разных показателей SES в детстве. Везде абсцисса — значение EA, ордината — остатки от регрессии, предсказывающей вероятность получить образование не ниже среднего в зависимости от EA при разных уровнях SES (синяя сплошная линия — высокий, красный пунктир — низкий). EA везде значимый предиктор этой регрессии, однако зависимости слабей при высоком SES.
Рисунок 6. То же самое, но для образования уровня окончания колледжа и выше. Везде EA — значимый предиктор образования уровня колледжа или выше, однако зависимость сильней при высоком SES семьи.
Рисунок 7. Зависимость между EA и логарифмом з/пл для разных групп выборки (абсцисса — возрастные когорты, года рождения, А — без в/о, В — колледж и выше), ордината — коэффициент регрессии, где первая предиктор второго. В А связь этих переменных отсутствует, в В она значима и усиливается с 2000 г., демонстрируя новый классовый разрыв.
Рисунок 8. Оценки ЕА и шансов на окончание колледжа у мужчин разных годов рождения (абсцисса, средний уровень красным). А. Доля окончивших колледж в когорте. В. Средний ЕА у окончивших колледж (видно замыкание этой группы не только в социальном, но и биологическом плане, тем более что образующие её гены равно представлены во всех слоях населения, и при «выборе лучших» доля окончивших колледж должна расти — но этого не происходит). С. Средний ЕА у всего населения.
Рисунок 9. Связь между оценкой когнитивных способностей тестами интеллекта (психометричеcкий интеллект) и логарифмом з/пл у лиц разных годов рождения (абсцисса). Ордината — коэффициенты регрессии между данными переменными. А. Без в/о — связь положительна даже после учёта образования. Б. Образование уровня колледжа и выше — зависимость делается всё слабее, однако везде незначима, кроме данных 1992-1996 гг. Видим, что по мере замыкания «классового барьера», мешающего подъëму, рынок труда больше вознаграждает носителей тех же генотипов, что способствуют более долгому образованию, даже когда его не удалось получить.
Таблица 1. Описательная статистика по общественному положению включённых в анализ участников HRS-мужчин, у которых определили EA-оценку.
Обозначения. Сверху вниз и слева направо: годы рождения — <1930, 1930-1934, 1935-1939, 1940-1944, 1945-1949, 1950-1954; образование, число полных лет; уровень образования — средняя школа, сдан тест GED, старшая школа (9-12 класс), 2хлетний колледж, 4хлетний колледж, бакалавр, выше; Redo Grade — пересдача тестов после неудовлетворительного результата; число лет, затраченных на образование, у отца; то же, у матери; доход отца; SES семьи в детстве — хорошо обеспечены, средний достаток, бедность, изменялся на протяжении детства, нет данных (н/д); переселялась ли семья в детстве — да, нет, н/д; запрашивала ли семья матпомощь в детстве респондента — нет, да, н/д; терял ли отец работу в детстве респондента — да, нет, никогда не работал, никогда не было, н/д; здоровье — превосходное, очень хорошее, хорошее, удовлетворительное, плохое, н/д.
Таблица 2. Корреляции между EA и параметрами социального статуса.
Обозначения. Cтроки и столбцы, сверху вниз и слева направо — составляющие корреляционной плеяды: ЕА, образование отца, матери, превосходное здоровье ребёнка, хорошее здоровье, приемлемое здоровье, нет данных по здоровью, n, R2., учитывается ли оценка детского SES (N — нет, Y — да), то же для региона рождения детей и религии, прирост доли дисперсии, объяснённой ЕА, при учёте названных компонент социального происхождения испытуемых.
Таблица 3. Зависимость между EA-оценкой и категорией образовательных достижений индивида.
Обозначения. Столбцы слева направо — неполное среднее или базовое, 8-9 классов, 2хлетний колледж, 4хлетний колледж, больше чем колледж. Строки сверху вниз: Панель А: EA, n, R2, доля дисперсии, объясненной регрессионной зависимостью, в основе которой лежит данная корреляция, панель В: ЕА-оценка, образование отца, образование матери, n, R2. Представлены коэффициенты регрессий, связывающих EA с категориями уровня образования или риском пересдачи теста. Панель A — расчёт без учёта образования родителей, панель B при учёте. *** — значимо при Р<0,001.
Примечания. В расчете зависимостей использовали EA (для контроля различий в генетических показателях внутри группы), полный набор фиктивных переменных модели для года рождения, календарного года, мужского пола (за исключением показателей з/пл) и полный набор взаимодействий между значениями фиктивных переменных года рождения и пола (за исключением регрессии заработной платы). Если не указано иное, в этой и следующих таблицах каждая спецификация включает в себя первые 10 основных компонентов полной матрицы генетических данных и контрольные данные для родительского образования (годы отцовского и материнского образования и цифры с указанием неправильных значений для каждого) и собственного образования (годы обучения и полный набор завершенных степеней).
Таблица 4. Зависимость социального статуса и категории образовательных достижений.
Обозначения. Представлены коэффициенты регрессий, связывающих четыре показателя SES в детстве респондентов с их уровнем образованием и показателем EA (зависимые переменные). В первой строке обоих панелей показана доля респондентов с высоким СЭС в выборке каждого из столбцов 1-4, показателей высокого статуса (слева направо — богатая семья, высокий доход отца, никогда не обращались за помощью, никогда отец не терял работу). Панель A — коэффициенты регрессий между числом лет образования в зависимости от (строки) высокого СЭС и EA, B — между высоким СЭС и EA, с контролем уровня образования родителей и нет.
Таблица 5. Связи ЕА-оценок (первая строчка), взаимодействия ЕА с в/о (вторая) и заработной платы
Обозначения. Панель А — выборка в целом, В — только имеющие высшее образование, изменения характера связи в разные годы и по разным возрастным группам. Строки третья и ниже — n; R2; учёт всех групп по уровню образования; за все годы наблюдений; контроль уровня образования Y — есть, N нет; контроль родительского SES Y есть, N нет.
Панель В строки сверху вниз: ЕА; взаимодействие ЕА и годов наблюдений после 2000 г. (столбец 1); взаимодействие ЕА и года рождения после 1942, медианный для анализируемой выборки (столбец 2), в столбце 3 учтены оба эти взаимодействия.
Примечания. Представлены коэффициенты регрессии между баллом EA и логарифмом заработной платы. Выборка везде только мужчины 50 до 64 лет, сообщившие о работе за оплату ≥20 ч. Зависимой переменной является логарифм заработной платы. Спецификации в столбцах 2 и 3 включают контроли для родительского образования (годы образования отца и матери и фиктивные переменные, указывающие пропущенные значения для каждого) и собственного образования (годы обучения и полный набор фиктивных переменных для завершенных дипломов). Столбцы 4-7 включают все контроли из столбца 3, но ограничены подвыборками (по году и диплому колледжа), как указано в таблице.
Таблица 6. Связи ЕА-оценок (первая строчка) и характера работы с интенсивностью трудовых операций выше медианной (столбцы слева направо, они же зависимая переменная: не рутинная, аналитическая; не рутинная, взаимодействие с людьми; рутинная работа руками; рутинная умственная; не рутинная, работа руками). В скобках — коэффициенты регрессий для взаимодействия ЕА с в/о, следующие строки n и R2.
Таблица 7. Связи ЕА-оценок с результатами на рынке труда
Обозначения. Представлены коэффициенты регрессии между EA с занятостью (панель А; мужчины 50-64 лет, работающие за плату); между ЕА и невыходом на пенсию в период, предшествующий обследованию (панель В; данные по мужчинам 50-64 лет, работавшим в последнее время за плату и так и не вышедших на пенсию). Столбцы 2 и 3 — контроль образования родителей (всего лет учёбы у отца и матери, включая фиктивные переменные для пропущенных данных) и собственного образования испытуемых (всего лет обучения, включая фиктивные переменные для завершенных дипломов). В столбце 3 добавлены коэффициенты регрессии для взаимодействия ЕА и образования как минимум в колледже (строка 2). Следующие строки обоих панелей вверху вниз: n; R2; контроль образования родителей; контроль их SES.
Таблица 8. Связи ЕА-оценок с логарифмом дохода (только мужчины 5–64 лет, работавшие за з/пл >20 ч/нед).
Обозначения. Представлены коэффициенты регрессий, где ЕА — предиктор разных измерений богатства (столбцы 1-4), Father Educ — образование отца, Mother Educ — матери. 1 — логарифм объёма ликвидности (рыночное богатство): деньги и всё легко обратимое в деньги: облигации, акции, паевые инвестиционные фонды, 2–4 — логарифм общего богатства (ликвидность + рыночная стоимость пенсионных счетов и домов — долги по ипотеке). Исключён из анализа верхний 1% по богатству для каждого человеко-года из-за существенных выбросов [сравни с другими проблемами исследования высокостатусных групп]. Зависимая переменная в столбце (1) — это логарифм рыночного богатства, который включает ликвидные или легко ликвидируемые активы: денежные средства или их эквиваленты, облигации, акции и паевые инвестиционные фонды. В столбцах (2)–(4) зависимой переменной является логарифм совокупного богатства, который включает рыночное богатство, рыночную стоимость пенсионных счетов и стоимость домов (за вычетом ипотечной задолженности).
Таблица 9. ЕА, семейные проблемы и з/пл: составляющие выборки
Обозначения. Представлены коэффициенты регрессии между переменными, * — уровень значимости, и доли дисперсии, объясненной учтенными влияниями (R²). Столбцы — влияния: 1 образование вообще, 2 уровня колледжа и выше, 3 средняя школа, 4 логарифм зарплаты, 5 логарифм общего богатства, 6 оценка когнитивных способностей, 7 см. 4, 8 см.5, 9 см. 6.
Панели А-С — 1й-3й терциль ЕА, строки в каждой из них сверху вниз: высокий SES, наркотики/алкоголь, физическое насилие, учёт уровня образования при расчёте регрессий.
Источник IZA Discussion Paper Series, Sept. 2016. №10200.
Примечания
1 Прим.публикатора.«Биологические» теории интеллекта, предполагающие в том числе, что «фактор g» (общий интеллект): а) биологической природы, б) устойчивей частных способностей и определяет их, в) тривиальным образом совпадает с интеллектом психометрическим, т. е. результатом тестирования по IQ, вызывают много вопросов и в целом сомнительны, см. «Contra идеи «наследования интеллекта», «Затопит ли нас «глобальное поглупение»?», «Социальные факторы роста интеллекта, и их «биологическая сторона». Позже появились и новые вопросы такого рода, показывающие их внутренню противоречивость, а не только не лучшее соответствие фактам, см. обзор. Куда вероятней, что цифры IQ показывают не интеллект, а конкурентоспособность индивидов в современном обществе, где надо успешно учиться и переучиваться, и степень социализованности индивида к подобной учёбе, к социальному подъёму через образование и пр. Генные влияния на IQ/предикторы успехов в школе и других достижений связаны именно с ней.
![Реализация «генов образования» в зависимости от социального статуса в США Print PDF Гены, образование, их влияния на рынке труда: взгляд со стороны исследования здоровья и выхода на пенсию. Nicholas W. Papageorge1, Kevin Thom2 Johns Hopkins University and IZA; New York […]](http://www.socialcompas.com/wp-content/uploads/2025/11/Snimok-ekrana-ot-2025-11-17-13-08-28.png)












